受生债原位民间之信仰,后为道门所继承。
佛教原本没有,然祖师示现方便,方便之法由虚云老和尚编撰于《禅门日诵》,与众生广解佛缘。
虽说受生债于佛教观点来讲并不能成立,然讽诵经典都是有益而无害的,故祖师开此方便之法;我等得此四大和合之色身必然为业风所吹,故讽诵经典必能趋吉避凶故祖师开此方便之法。
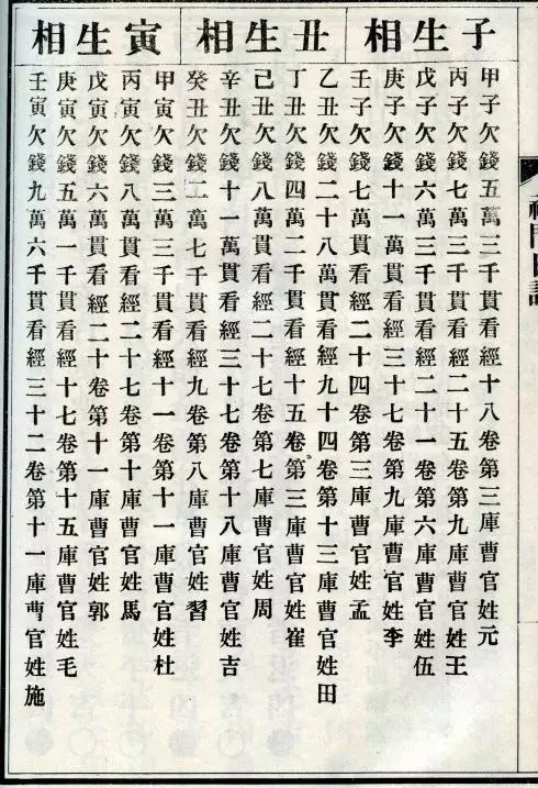
今现将佛门受生债附图于后,凡属龙,鸡,牛,羊,狗之属相亲依图中记载之部数冬至后立春前讽诵完金刚经:

六十甲子看经数欠钱数目应纳库及缴欠受生债表
出生年(干支)出生年(公元)欠钱(贯)看经(卷)纳(库)曹官(姓)
甲子(鼠)1924、1984欠钱五万三千贯看经十八卷第三库曹官姓元
乙丑(牛)1925、1985欠钱二十八万贯看经九十四卷第十三库曹官姓田
丙寅(虎)1926、1986欠钱八万贯看经二十七卷第十库曹官姓马
丁卯(兔)1927、1987欠钱二万三千贯看经八卷第十一库曹官姓许
戊辰(龙)1928、1988欠钱五万四千贯看经十八卷第十四库曹官姓冯
己已(蛇)1929、1989欠钱七万二千贯看经二十四卷第二十一库曹官姓曹
庚午(马)1930、1990欠钱六万二千贯看经二十一卷第四十二库曹官姓陈
辛未(羊)1931、1991欠钱十万一千贯看经三十四卷第五十九库曹官姓常
壬申(猴)1932、1992欠钱四万二千贯看经十四卷第四十九库曹官姓王
癸酉(鸡)1933、1993欠钱五万贯看经十七卷第十二库曹官姓申
甲戊(狗)1934、1994欠钱二万七千贯看经九卷第十七库曹官姓井
乙亥(猪)1935、1995欠钱四万八千贯看经十六卷第四十二库曹官姓成
丙子(鼠)1936、1996欠钱七万三千贯看经二十五卷第九库曹官姓王
丁丑(牛)1937、1997欠钱四万二千贯看经十五卷第三库曹官姓崔
戊寅(虎)1938、1998欠钱六万贯看经二十卷第十一库曹官姓郭
己卯(兔)1939、1999欠钱八万贯看经二十七卷第二十六库曹官姓宋
庚辰(龙)1940、2000欠钱五万七千贯看经十九卷第二十四库曹官姓刘
辛已(蛇)1941、2001欠钱五万七千贯看经十九卷第三十七库曹官姓高
壬午(马)1942、2002欠钱七万贯看经二十四卷第四十四库曹官姓李
癸未(羊)1943、2003欠钱五万二千贯看经十八卷第四十九库曹官姓朱
甲申(猴)1944、2004欠钱七万贯看经二十四卷第五十六库曹官姓吕
乙酉(鸡)1945、2005欠钱四万贯看经十四卷第二库曹官姓安
丙戌(狗)1946、2006欠钱八万贯看经二十七卷第三库曹官姓左
丁亥(猪)1947、2007欠钱三万九千贯看经十三卷第四十库曹官姓吉
戊子(鼠)1948、2008欠钱六万三千贯看经二十一卷第六库曹官姓伍
己丑(牛)1949、2009欠钱八万贯看经二十七卷第七库曹官姓周
庚寅(虎)欠钱五万一千贯看经十七卷第十五库曹官姓毛

辛卯(兔)欠钱八万贯看经二十七卷第四库曹官姓张
壬辰(龙)欠钱四万五千贯看经十五卷第一库曹官姓赵
癸巳(蛇)欠钱三万九千贯看经十三卷第五十库曹官姓卞
甲午(马)欠钱四万贯看经十四卷第二十一库曹官姓牛
乙未(羊)欠钱四万贯看经十四卷第五十一库曹官姓皇
丙申(猴)欠钱三万三千贯看经十一卷第五十七库曹官姓钮
丁酉(鸡)欠钱十七万贯看经五十七卷第二十九库曹官姓胡
戊戌(狗)1958欠钱四万二千贯看经十四卷第三十六库曹官姓晋
己亥(猪)1959欠钱七万二千贯看经二十四卷第五十库曹官姓卞
庚子(鼠)1960欠钱十一万贯看经三十七卷第九库曹官姓李
辛丑(牛)1961欠钱十一万贯看经三十七卷第十八库曹官姓吉
壬寅(虎)1962欠钱九万六千贯看经三十二卷第十一库曹官姓施
癸卯(兔)1963欠钱三万三千贯看经十一卷第二十二库曹官姓王
甲辰(龙)1964欠钱二万九千贯看经十卷第十九库曹官姓董
乙巳(蛇)1965欠钱九万贯看经三十卷第二十一库曹官姓杨
丙午(马)1966欠钱五万三千贯看经十八卷第六十库曹官姓萧
丁未(羊)1967欠钱九万一千贯看经三十一卷第五十二库曹官姓朱
戊申(猴)1968欠钱八万贯看经二十七卷第五十八库曹官姓柴
己酉(鸡)1969欠钱九万贯看经三十卷第二十三库曹官姓孙
庚戊(狗)1970欠钱十一万贯看经三十七卷第二库曹官姓辛
辛亥(猪)1971欠钱七万一千贯看经二十四卷第四十库曹官姓卞
壬子(鼠)1972欠钱七万贯看经二十四卷第三库曹官姓孟
癸丑(牛)1973欠钱二万七千贯看经九卷第八库曹官姓习
甲寅(虎)1974欠钱三万三千贯看经十一卷第十一库曹官姓杜
乙卯(兔)1975欠钱八万贯看经二十七卷第十八库曹官姓柳
丙辰(龙)1976欠钱三万二千贯看经十一卷第三十三库曹官姓贾
丁已(蛇)1977欠钱七万贯看经二十四卷第十六库曹官姓程
戊午(马)1978欠钱九万贯看经三十卷第三十九库曹收姓史
己未(羊)1979欠钱四万三千贯看经十五卷第五库曹官姓卞
庚申(猴)1980欠钱六万一千贯看经二十一卷第四十二库曹官姓胡
辛酉(鸡)1981欠钱二万七千贯看经九卷第十五库曹官姓丁
壬戌(狗)1982欠钱七万二千贯看经二十四卷第四十库曹官姓彭
癸亥(猪)1983欠钱七万五千贯看经二十五卷第四十三库曹官姓仇
在人生旅途中总会有很多因果孽债,其中有一种债叫受生债。
受生债在经书里是这样解释的:每个人转世之前都要到地府曹官那里去借钱,培植自己的福慧资粮,因此每一个人出生后才有粮吃有衣穿有钱花等等福报,因此人生需要还的第一个阴债就是受生债。且任何人都需要还此债,无一例外!
人们希望早还此债,以消灾解厄,事事顺利。
如果人遇到仕途不顺,办事不利,生活坎坷,口舌是非等等人生不如意事情出现时,当立即偿还此受生债,以迄穰灾解厄,事事顺利。
保佑福主善信所作所求顺顺利利,吉祥如意,好运连连。
还受生债免得身边一十八种横灾:
1、远路波陌内被恶人窥算之灾
2、远路风雹雨打之灾
3、过江渡河落水之灾
4、墙倒屋塌之灾
5、火光之灾
6、血光之灾
7、劳病之灾
8、疥癞之灾
9、咽喉闭塞之灾
10、落马伤人之灾
11、车碾之灾
12、破伤风死之灾
13、难产之灾
14、横死之灾
15、摔中风病之灾
16、天行时气之灾
17、投河自尽之灾
18、官事口舌之灾
哪些人需要参加法会?
1、流产堕胎的。
一个小生命能够投胎,不管是来报恩的还是讨债的,都是和父母有很深的缘分。如果被人为的终止,成为婴灵,那么必然心生怨恨,不但自身很难解脱,也会影响到生身父母的健康、财运、子嗣、事业等各方面的运势。所以有过此类事件的朋友,一定要进行超度,使其往生,对婴灵和父母都有好处。
2、伤害过他人的。
不管是有心还是无意,一旦对他人造成伤害,不管是身体还是心理上的,你就背负上了因果。这些怨气会引起身心健康、事业财运、人际关系等各方面的问题,严重的甚至会要你以命抵命!如肇事逃逸致人死亡的、意外疏忽致人死亡的,特别是阳世间没有受到相应的责罚,这种情况尤为明显。这种情况,一定要做超度,而且要多做几次,求得对方的谅解,化解恩怨!
3、亲友去世。
不管是正常去世,还是意外离世,一失人身,万劫不复!唯有在世的亲人能够帮助他们脱离苦海。我们为其做超度,都能够帮助他们尽快消除障碍,随其心愿投胎转世,或者往生天界!
尽到我们作为其亲人的职责,也能获得现世身体健康、事事如意,来生转世善道,乃至往生净土的功德利益。
4、事事不顺的。
自己很努力,但是事事不顺,又找不出什么原因的,很有可能是前世的冤亲债主在障碍你。为他们做超度,化解恩怨,能够改善自身的运气。
5、伤害过动物的。
曾经伤害过动物,尤其是有灵性的动物,如:蚂蚁、猫、狗、黄鼠狼、刺猬、蛇、狐狸等,需要为其做超度,来化解它对你的怨恨,获得身体健康、运势亨通的效果。
6、有感情问题的。
如婆媳不和、抛弃原配、大龄单身、婚姻出轨、一夜情甚至多夜情的、离婚的、夫妻不和睦的,都有可能是自己的冤亲债主干扰,或者外鬼作祟,需要做超度。
7、工作不顺、财运不佳的。
很努力的工作,但是收获和付出严重不成比例;财运很差,总是入不敷出的;做事总是磕磕绊绊、功败垂成的;工作中小人当道的,这些有可能是自己的冤亲债主干扰,或者外鬼作祟。超度后能够有效的消除障碍、提升福报!
8、身体有病久治不愈的。
莫名其妙失眠、胆战心惊、常做噩梦、各种怪病、性情突变、小病小灾不断的,到医院又查不出问题,或者打针吃药效果不明显的,这些情况都需要做超度。
9、想提升福报的。
我们通过超度,可以消除业障,化解冤亲债主等,使亡灵得以往生东方长乐世界,让生者获得安宁、安定,进而提升自己的现世福报。
10、想为现世亲人提升福报的。
我们也可以通过替现世亲人超度他们的冤亲债主,来为亲人消除业障,化解冤亲债主的干扰,获得身体健康、事事顺利等现世福报。


 
                            
                             
                            
                             
                                 
                                 
                                 
                                 
 
                 
                 
                 
                 
                 
                 
                 
                 
                 
                 
                 
                 
                 
                 
                 
                 
                 
                 
                 
                 
                 
                 
                 
                 
                 
                